О Центре
Проекты
Сотрудники АУ «НАЦ РН им. В.И. Шпильмана» активно участвуют в научно-методических исследованиях, инновационных процессах, включающих в себя создание и апробацию новых технологий обработки геофизических данных с привлечением материалов различных опытно-методических работ:
- Полученных с применением высокопроизводительной методики полевых вибросейсмических работ – slip-sweep. В 2018-2019 гг. в ходе договорных работ специалистами Центра совместно с коллегами из ООО «НОВАТЭК НТЦ» была разработана и прошла опробование на материалах ОМР для Трёхбугорного л.у. и Западно-Солпатинской площади (ЯНАО) технология предкорреляционной обработки виброграмм – МАОВ (многозональная адаптивная обработка виброграмм). В отличие от Западных методик подавления гармонических (технологических) помех на виброграммах, работающих по принципу их статистического вычитания из исходных данных, наша технология является полностью детерминированной. Количественные оценки эффективности её применения к виброграммам составили порядка 25-30%, что является серьёзным достижением в области обработки вибросейсмических материалов (см. Рис. 1). Принципильная схема реализации с применением данной технологии состоит в следующем:
- Разложение первичной виброграммы на узкие частотные панели посредством применения полосовой фильтрации по принципу постоянства затухания сейсмического сигнала (отношения ширины спектра к средней частоте);
- Расчёт и применение к каждой частотной панели верхнего и нижнего мьютинга таким образом, чтобы обеспечивалось обнуление амплитуд вне области регистрации полезного сигнала;
- Оптимальное подавление линейных регулярных, случайных и квазислучайных помех в выбранных частотных панелях;
- Корреляция виброграмм с получением коррелограмм в частотных панелях;
- Слияние коррелограмм в частотных панелях с поверхностно-согласованным приведением фактической АЧХ к АЧХ желаемой формы.
Рис. 1. Сравнительный пример фрагментов временных разрезов (ОМП-58/17, Трёхбугорный л.у.): а) оригинальный (flip-flop) – без технологических помех, б) вариант получен по составным виброграммам (имитация технологии slip-sweep) без обработки по технологии МАОВ, в) вариант получен по составным виброграммам (имитация технологии slip-sweep) после обработки по технологии МАОВ. Стрелками на разрезе отмечены места с наличием наиболее интенсивных технологических помех.
- Проведённых по методике МОЭМВ-ОГТ (метод отражённых электромагнитных волн общей глубинной точки) на одной из площадей Севера Тюменской области.
- Выполнена апробация анализа и увязки данных, полученных акустическим методом, и данных зарегистрированных с использованим метода волнового зондирования электромагнитных волн с применением программы Seismic Balance в составе программного пакета OpenWorks Halliburton Landmark.
В настоящее время в нефтегазовой геологоразведке главным полевым геофизическим методом поиска месторождений нефти и газа является сейсморазведка методом отражённых волн – МОВ-ОГТ. Кинематические и динамические характеристики волн, отражённых от акустических границ изучаемых резервуаров, несут информацию о свойствах изучаемого объекта (пласта, ловушки), т.е. глубине залегания, геометрии, и в какой-то степени – перспективах продуктивности на нефть и газ. Однако присутствие углеводородов в составе насыщающих глубинный пласт флюидов не создаёт крупных контрастов в упругих параметрах среды (если, конечно, речь не идёт о крупных уникальных залежах нефти и газа), а, следовательно, и в формирующемся волновом поле отражённых волн.
Преимуществом метода МОЭМВ, унаследованным от георадиолокации, является высокое разрешение объектов, контрастных по электрофизическим характеристикам. Это качество позволяет МОЭМВ разделять, например, углеводороды и влагонасыщенные породы даже в случае их похожей плотности, что актуально как при разведке углеводородных месторождений, так и при мониторинге загрязнений нефтепродуктами. Алгоритм обработки исходных электромагнитограмм, полученных по методике волнового зондования МОЭМВ – ОГТ, имел целых ряд специфических моментов, характерных для электромагнитных волн. Алгоритм применерия процедур является в своем роде инновационным для обработки волнового поля электромагнитных волн. На Рис. 2 представлен основной цикл обработки ЭВ по методике волнового зондирования ОГТ.
Рис. 2. Электромагнитограмма ОГТ до и после ввода кинематических поправок на разных этапах обработки
Интервал регистрации при ОМР – 10 000 нс, что соответствует глубине порядка 700 м. Наблюдается инверсия скорости с глубиной (см. Рис. 3 а, б), что вполне закономерно, поскольку в верхней части разреза залегает мерзлота, электрофизические свойства которой близки к диэлектрику. В ходе обработки был изменён в миллион раз масштаб измерений посредством приравнивания 1 мс к 1 нс. В таком масштабе вид волнового поля и спектров является вполне привычным для специалистов по сейсморазведке.
3а
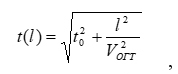
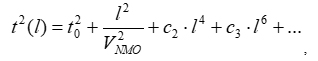
При скоростном анализе, выполняемом по сейсмограммам ОГТ, по факту осуществляется параметризация годографа при помощи гиперболической аппроксимации по методу наименьших квадратов с использованием вторых порядков при разложении в ряд Тейлора:

При обработке годографов МОЭМВ–ОГТ стандартная гиперболическая аппроксимация на 100% не дала ожидаемого положительного результата.
3б
Рис. 3. Результаты комплексного скоростного анализа для метода МОЭМВ-ОГТ с использованием различных порядков при аппроксимации годографов ОГТ электромагнитных волн
В свою очередь повторная гиперболическая аппроксимация с использованием 4-го порядка при разложении данных в ряд Тейлора

где: l - расстояние между источником и приёмником, обозначение VNMO используется для параметра при второй степени l в разложении времени, как это принято в западной литературе.
Использование кривой зависимости остаточного годографа ОСТ существенным образом улучшило данную ситуацию. Годографы ЭВ стали в лучшей степени спрямлены.На Рис. 4 представлено сопоставление геофизических материалов, полученных в ходе акустических и электромагнитных исследований. Хорошо видны потенциальные возможности волнового метода МОЭМВ-ОГТ по сравнению с сейсморазведочным методом МОВ-ОГТ в контексте оценки разрешённости записи и, как итог, улучшения качества поиска перспективных объектов на пока небольших глубинах исследования (до 600-700 м).

Электромагнитограмма ОПВ

Сейсмограмма ОПВ
Рис. 4. Сравнение разрешённости записи по данным электромагнитных и акустических волн
Методика работ МОЭМВ – ОГТ (ООО «НОВАТЭК НТЦ», ООО «ТАЙМЕР») и технология обработки магнитограмм (АУ «НАЦ РН им. В.И. Шпильмана») являются в своём роде уникальными научно-производственными разработками и предполагают увеличение разрешённости записи по сравнению с акустическими данными минимум в 3 раза.
Приоритетные направления развития метода:
- Увеличение производительности работ;
- Модернизация излучающего ЭВ и приёмного оборудования;
- Апробация впервые в мировой практике технологии многократного профилирования (по аналогии с методикой МОВ-ОГТ для сейсморазведочных работ) с использованием ЭВ на одном из месторождений ХМАО - Югры;
- Совершенствование технологии обработки волнового поля ЭВ.
